2025년 공무원 봉급표, 2025 대통령, 9급 공무원연봉
2025년은 공무원 봉급에 있어 변화가 예상되는 해입니다. 정부는 물가 상승률과 경제 성장을 반영하여 공무원 봉급 인상률을 결정합니다. 일반적으로 공무원 봉급은 매년 일정한 인상률을 적용받으며, 이는 국회의 승인 절차를 통해 확정됩니다. 2025년 공무원 봉급표는 이러한 과정을 거쳐 발표될 예정입니다.
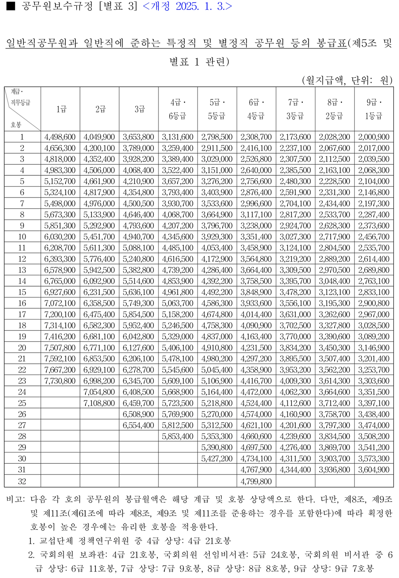
공무원 봉급표와 계급별 구조
공무원 봉급표는 계급과 근속연수에 따라 세분화되어 있습니다. 기본적으로 공무원의 계급은 9급부터 1급까지 나뉘며, 대통령과 장관급의 연봉은 별도의 체계를 따릅니다.
9급 공무원 봉급

9급 공무원은 입문 단계에 해당하며, 대체로 청년층의 첫 공직 경험이 됩니다. 2025년 기준 9급 공무원의 초봉은 약 200만 원 초반에 이를 것으로 보이며, 근속연수에 따라 급여가 점진적으로 증가합니다. 여기에 각종 수당이 더해져 실질 소득은 기본 봉급보다 높아집니다.
고위 공무원 연봉
고위직 공무원의 연봉은 일반직과 달리 직무급과 성과급이 포함된 구조입니다. 예를 들어 장차관급 공무원의 평균 연봉은 1억 원을 초과하며, 대통령의 연봉은 약 2억 원 수준으로 책정될 가능성이 높습니다. 이는 국가 운영의 책임을 맡은 이들의 업무 강도와 중요성을 반영한 결과입니다.
2025년 공무원 봉급 인상률
정부는 2025년 공무원 봉급 인상률을 3% 수준으로 예상하고 있습니다. 이는 지난 몇 년간의 경제 성장률과 물가 상승률을 반영한 결과입니다. 이러한 인상률은 공무원들의 생활 안정과 업무 효율성을 높이기 위해 중요한 역할을 합니다.
2025년 대통령 연봉과 특수성
대통령 연봉 체계
대통령의 연봉은 별도의 규정에 따라 산정됩니다. 2025년 대통령의 연봉은 약 2억 원 초반대로 예상되며, 이는 세계 주요 국가의 대통령 연봉과 비교해 적정 수준으로 평가받습니다. 대통령 연봉에는 기본급과 업무 관련 경비가 포함되며, 별도의 보너스는 없습니다.
대통령 연봉의 특수성
대통령 연봉은 단순히 금전적 보상 이상의 의미를 가집니다. 국가를 대표하는 역할과 함께 막대한 업무 부담을 고려하면, 이는 공정한 보상 체계로 이해됩니다. 또한, 대통령 연봉은 국민의 세금으로 지급되므로 투명성과 공정성이 중요합니다.
9급 공무원 연봉: 초임에서 근속까지
초임 연봉 구조
9급 공무원의 초임 연봉은 약 3,200만 원 정도로 책정됩니다. 기본급 외에도 시간 외 근무수당, 식대, 명절 보너스 등이 포함되어 실질 연봉은 이보다 높아질 수 있습니다.
근속 연수에 따른 연봉 변화
공무원은 근속 연수가 길어질수록 봉급이 상승하며, 각종 수당과 퇴직금도 이에 비례해 증가합니다. 예를 들어, 9급 공무원이 5년 이상 근무할 경우 연봉은 약 3,500만 원 이상으로 상승할 가능성이 큽니다.
2025년 공무원 연봉의 특징
복지와 수당
공무원 연봉은 기본급 외에도 다양한 수당으로 구성됩니다. 시간 외 수당, 자녀 학자금 지원, 주택자금 대출 등이 대표적입니다. 이러한 혜택은 공무원의 안정적인 생활을 보장하는 중요한 요소로 작용합니다.
지역별 차이
일부 지역 공무원은 근무 환경에 따라 추가 수당을 받을 수 있습니다. 예를 들어, 도서 산간 지역이나 위험 업무를 수행하는 공무원은 특별 수당이 지급됩니다.
결론: 2025년 공무원 봉급과 연봉 전망
2025년 공무원 봉급표는 경제와 물가 상승률을 반영해 약간의 인상이 예상됩니다. 9급 공무원의 초봉에서 대통령의 연봉까지 각 계급별로 세분화된 체계는 공정성과 투명성을 기반으로 하고 있습니다. 공무원 연봉은 기본급뿐 아니라 다양한 수당과 복지를 포함하여 안정적인 직업적 기반을 제공합니다. 공무원을 준비하거나 관련 정보를 찾는 이들에게 2025년 봉급표는 중요한 참고 자료가 될 것입니다.
'정보부' 카테고리의 다른 글
| 기독교 조의 위로문자 (0) | 2024.12.24 |
|---|---|
| 운철검 - 철질운석으로 만든 칼 (0) | 2024.10.02 |
| 2025년 공무원 봉급표 인상률 (0) | 2024.07.20 |
| 디스코드 화면공유 화질 개선 방법 (0) | 2024.07.12 |
| 기차표 예매 방법 (0) | 2024.07.08 |
목차
댓글